|

Unit Circle Investigation
Listed below are two investigations that will allow you to
investigate the workings of the unit circle and the relationship between
the unit circle and the trigonometric graphs.
|
Animated display of the
relationship between the unit circle and the creation of the
trigonometric curves |
- Set the MODE to Radian, Parametric (Par),
and Simultaneous (Simul).
|
 |
- Set the WINDOW to:

|


Use the up and down arrows to
move between the unit circle and
the trig curve. |
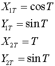
- Enter the equations:

|
- Press GRAPH. The Unit Circle and the Trigonometric graph will be drawn
simultaneously. Trace between the unit circle and the trig
curve to see the relationships between the graphs.
|
- A further exploration can be demonstrated by
changing Y2T = cos T and again tracing between the graphs.
|
|
Investigate the Unit Circle more
closely: |
- Set the MODE to Degree, Parametric (Par),
Sequential and clear the equations.
|
 |
- Set the WINDOW to:

Note: The Tstep controls the
increment of angle rotation.
|
 |
- Enter the equations:

|
 |
- Press TRACE and arrow to the right. The spider will work its way around
the unit circle examining the angles as it progresses.
|
 |
|