logo Calculator Open Page
Finding Maxima and Minima
for simple functions

METHOD 1: Investigate relative minima/maxima for y = (x - 2)2 + 1.

Step 1:
mm2
  Enter the equation into Y=

 

Step 2: 
mm1
Hit GRAPH.
It may be necessary to adjust the WINDOW so you can see the "hills" and "valleys".  

Step 3: 
mm3
This graph has a "valley", so look for the minimum.  Under the CALC (2nd TRACE) menu, choose #3 minimum. 
Hit ENTER.  

Step 4:
mm4
When asked for Left Bound, move the cursor (use arrow keys) to the left of the observed minimum location.  Hit ENTER.  You will see a mark indicating that you have "locked" this position. 

Step 5:mm5  When asked for Right Bound, move the cursor (use arrow keys) to the right of the observed minimum location.  Hit ENTER.  You will see a mark indicating that you have "locked" this position.

Step 6:
mm6
When the last screen asked for Guess, simply hit ENTER. 

Step 7:
mm6
The coordinates of the miminum value (within your marked boundaries) is:  
 Min (2, 1)


barrow

  Note:
 
If you are investigating more than one location on a graph, you must start this process from the beginning for each point being investigated.  (Return to Step 3.)


 This same process is used to examine relative maxima.
In step 3, choose #4: maximum.


 

 

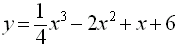
METHOD 2: Investigate relative minima/maxima for ff.

Step 1:
n5
  Enter the equation into Y=

Step 2: 
n1
Hit GRAPH.  Be sure the graph is viewable in the graphing window.  Adjust the WINDOW if needed.

Step 3:
n2
From the HOME screen, hit the MATH key.  Choose either #6 fMin or #7 fMax. 
Hit ENTER

Step 4:
n3
The parameters for fMin and fMax the same:
fMin(expression, variable, left bound, right bound)
Be careful:  The answer from fMin is the X-coordinate where the minimum occurs.  It is not the actual y-value minimum.   You must then calculate the y-value.

Step 5:
n4
Again, remember that the answer from fMax is the X-coordinate where the maximum occurs.  You must then calculate the y-value.

HINT: To get Y1 (Ans)
   Y1:   VARS → Y-VARS
             #1Function
   Ans:   2nd (-) key

 

 

 

ANSWERS:
rounded to nearest thousandths

Min(5.070, -7.759)

Max(0.263, 6.129)

 


divider
Finding Your Way Around TABLE of  CONTENTS